合作客戶/
拜耳公司 |
同濟大學 |
聯合大學 |
美國保潔 |
美國強生 |
瑞士羅氏 |
相關新聞Info
-
> 4種油醇烷氧基化物平衡和動態表面張力、潤濕性、泡沫性、乳化性質研究(四)
> Na2CO3溶液與模擬油反應不同時間后產物的界面張力、剪切黏度(一)
> 基于微納米二氧化硅粒子薄膜制備超疏水滌綸織物
> LB膜技術在生物基材料改性中的應用
> 表面張力貯箱電子束焊接設計要求及與焊縫熔深之間關系
> 污水處理廠安全操作規程
> 硅基納米原位乳化減阻劑與原油的界面張力達到10-1mN/m數量級,提高原油采收率
> 晶圓級超平整石墨烯載網的批量化制備步驟與應用
> 高速運動的微小水滴撞擊深水液池產生的空腔運動及形成機理(三)
> 水成膜泡沫滅火劑之氟碳表面活性劑YM-316復配性能及表面張力測定(上)
一滴水緩慢落到非常光滑的平面上,接觸面積會有多大?
來源:知乎 阿黃sweetgirl 瀏覽 2590 次 發布時間:2021-07-29
此問題中,其實絕對光滑不太合適,一般可以考慮原子級別的光滑就已經可以使用(或可以看做沒有接觸角滯后現象)。為了讓解析式簡便,此題轉化為:
如果將體積為V的液體水滴落到原子級別光滑的光滑固體表面上,設固體表面對水的接觸角為θ,那么液滴穩定后,液滴與固體之間的接觸面積S有多大?
下面我僅僅使用參數V和θ,以及水的物性常數找出S的簡單解析式。
首先,此題必須分為兩種情形。第一種,是液體V很小時,此時表面張力占主導地位。此解法宮非前輩已經給出,但是其解析式不夠簡化。因此我進一步加以簡化。當表面張力占主導時,液滴成完美的球缺狀,如圖1所示。
圖1液體體積很小時,毛細作用力占主導的情形,液滴呈球形
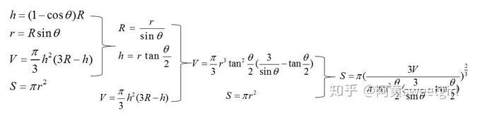
此時根據球的體積公式,以及簡單的三角函數變換,就可以得出S與V和θ的關系,具體推導過程如圖2所示。
圖2接觸面積S的推導過程
此時可以看出,S與V的2/3次方是正比例關系。對于自然界任何光滑的表面,接觸角處于0到122°的范圍內,可以繪出S與θ的關系,如圖3所示。
圖3接觸面積隨著接觸角的變化關系
上圖是接觸角從5°到120°范圍內的接觸面積的變化關系,基本上涵蓋了自然界中的大多數物質的光滑固體表面。
然后再是第二種情形,就是液體體積很大,此時表面張力很弱,重力占主導地位的場景。此時,液滴在光滑固體表面的呈現出扁平狀。如圖4所示。
圖4液體體積很大的情形
有意思的是,已經有前人對這種情形做過詳細的受力分析。得出只要接觸角一定,此時無論加多少水,液體的厚度e都不會增加,只會增加鋪展的面積。其厚度e的表達式為:
式中,γ為表面張力,p為密度,g為重力加速度。
由于此時,表面張力影響很小,液膜可以看成均勻的厚度,所以滿足
V=Se
從而可以推出:
圖5液體接觸面積的推導公式。
至于具體的推導e的過程,可以見如下分析:
參考文獻:Capillarity and Wetting Phenomena書籍。





