合作客戶/
拜耳公司 |
同濟大學 |
聯合大學 |
美國保潔 |
美國強生 |
瑞士羅氏 |
相關新聞Info
推薦新聞Info
-
> 烷基二苯醚/烷基苯混合磺酸鹽靜態表面張力、金屬腐蝕性及凈洗力測定(二)
> 烷基二苯醚/烷基苯混合磺酸鹽靜態表面張力、金屬腐蝕性及凈洗力測定(一)
> 全自動張力測定儀揭示子細胞表面張力對胞質分裂結局的主導作用(二)
> 全自動張力測定儀揭示子細胞表面張力對胞質分裂結局的主導作用(一)
> 煙道氣與正己烷對稠油表面張力的影響機制研究(三)
> 煙道氣與正己烷對稠油表面張力的影響機制研究(二)
> 煙道氣與正己烷對稠油表面張力的影響機制研究(一)
> 變化磁場、零磁場條件下磁性液體表面張力系數測定
> 晶圓級超平整石墨烯載網的批量化制備步驟與應用
> 水性不銹鋼喇叭網抗劃涂料的技術突破與性能優化
水面上單分子層膜通過磷脂光控開關實現可逆光學控制:結果和討論、結論
來源:上海謂載 瀏覽 1792 次 發布時間:2022-06-23
結果和討論
表面壓力。在呈現VSFG光譜之前,我們首先報告了不同單分子膜的壓力-面積等溫線。圖2顯示了DT Azo-5P在光開關兩種狀態下的等溫線。根據Kaganer等人23給出的含有氣相(G)、液相膨脹(LE)和凝聚相的廣義等溫線,我們對等溫線進行了初步賦值。當DT Azo-5P在其熱穩定反式狀態下壓縮時,當表面壓力變得有限時,發生轉變,低于每個分子約80?2。該躍遷被指定為從LE/G共存區到LE相的躍遷。在每個分子50?2處觀察到第二個壓力不連續,表明在凝聚相形成之前,從LE過渡到LE/凝聚共存。在每個分子的密度約為30?2時,單層會坍塌。
圖2:反式和順式狀態下的光開關脂質DT Azo-5P的表面壓力與面積等溫線(實線),d75-DPPC的表面壓力與面積等溫線(虛線),以及光開關兩種狀態下的1:5摩爾比的光開關脂質與d75 DPPC的表面壓力與面積等溫線(虛線)。
順式狀態的光脂的等溫線(在沉積到水面之前用370nm光照射)看起來非常不同。首先,在密度低得多的情況下,壓力是有限的。這與早期對含偶氮苯分子2,24的觀察結果一致,很可能源于順式分子的較大分子足跡。8更大的分子足跡意味著順式異構體的密度低于反式異構體的密度時,會發生脂間相互作用和有限的表面壓力。其次,每個分子在55?2處發生轉變,這可能表明從LE相到更凝聚相的轉變。當每個分子的面積低于50?2時,反式態的壓力顯著高于順式態的壓力。
d75 DPPC的等溫線顯示了脂質單分子膜的特征相:23 G/LE共存于每個分子100?2以上,LE直到大約60?2,然后是LE和凝聚相共存的平臺(由于相對較高的壓縮速度,在這種情況下不是很平坦),最后是凝聚相低于每個分子大約45?2。5:1 DPPC/DT偶氮-5P混合物的等溫線始終低于分離分子的等溫線。如果兩種不同的脂質存在于分離良好的區域的表面上,或者如果它們理想地混合而沒有相互作用,那么可以預期混合物的等溫線是純脂質等溫線的簡單總和。25,26顯然,這里的情況并非如此,這表明這兩種脂質是可混溶的,并形成非理想的混合單分子膜。由于在任何壓力下,混合物的每個分子的面積都低于兩個純取代基的分數面積之和,因此可以得出結論,這兩種類型的脂質具有吸引人的相互作用,25可能有不同的來源。首先,DT偶氮-5P頭基上的正電荷和DPPC上的兩性離子電荷可能導致DPPC和DT偶氮-5P之間的相互作用比同類脂質之間的相互作用更具吸引力。第二,在混合物中,頭基區域可能脫水,導致更緊密的堆積;第三,兩種脂質的形狀不同:DT Azo-5P和DPPC分別為錐形和圓柱形。對于混合物,這也可能導致更致密的填料幾何結構。
圖3:。在密度為75?2/分子和壓力為~3 mN/m。共振信號疊加在大型非共振背景上,由于共振信號和非共振信號之間的干擾,導致色散線型。黑色虛線表示NR振幅設置為零時的DT Azo-5P信號。
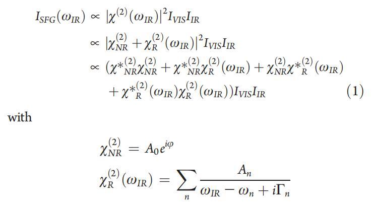
DT Azo-5P單分子膜的振動和頻發生光譜(VSFG)。圖3a描繪了在3 mN/m的表面壓力和75?2的分子面積下,處于反式狀態的光脂DT Azo-5P凝聚相中單層的灰色VSFG光譜。光譜顯示了CH2的共振(~2840 cm-1)和CH3對稱拉伸模式(~2860 cm-1),CH2和CH3不對稱拉伸模式~2890和2940 cm-1以及3000 cm-1以上的芳香CH信號,源自偶氮苯部分。2,11-13在3100 cm-1以上,光譜主要由來自水亞相的OH振動控制。頻譜在低頻時有一個異常的高(非零)基線,這表明一個高非共振信號。為了檢查這種可能性,使用以下表達式擬合光譜:11,12
磁化率包含一個非共振項,振幅為A0,相位相對于共振項j,以及一個共振項。后者通過共振頻率ωn、線寬2Γn和振幅An來描述n個振動共振。共振項振幅的相對符號取自文獻。12,27,28擬合結果如圖3所示,為黑色。事實上,擬合顯示DT Azo-5P的非共振振幅比通常觀察到的脂質單層(如DPPC)的非共振振幅大3倍(見下文)。圖3a中的黑色虛線曲線說明了大非共振貢獻對信號的影響,該曲線表示使用DT Azo-5P共振響應的計算光譜(從擬合結果中獲得),但當非共振振幅設置為零時(水振幅設置為零,尾巴在CH區域也作為NR信號)。當NR振幅設置為零時,我們觀察到,不僅背景降低,而且視共振信號大小減少了2到5倍,這取決于IR頻率。通過測量羅丹明6G的VSFG光譜,觀察到由于電子躍遷導致的類似信號增強。29,30然而,在這種情況下,作者使用可見光與電子激發共振,因此他們進行了雙共振實驗。DT-Azo-5P在800 nm處沒有電子躍遷,因此沒有雙共振效應;這種增強完全是非共振的。因此,對于目前的系統,非共振信號外差由于來自χNR(2)和χR(2)的交叉項(見等式1最后一行中的第二項和第三項)而產生共振信號,并增強信號,而不是直接影響χR(2),如羅丹明6G的結論。29,30因此,外差效應不僅是分子內的,而且是分子間的,并且可以直接用于增強高度稀釋樣品中的低信號,例如,通過簡單地將含苯部分添加到單層中。這意味著,在這種情況下,VSFG光譜中的信號大小不僅僅是二次依賴于分子數量,而在大多數情況下,非共振貢獻非常小。在附錄中,我們證明,由于外差效應,在存在光脂的情況下,可以測量相對較低水平的DPPC。這種非共振外差可以提供一種檢測分子單分子膜中低濃度分子振動響應的有用方法。
DT Azo-5P順式和反式振動和頻發生光譜(VSFG)。為了獲得不同狀態下脂質分子結構的信息,在輻照周期內測量了VSFG光譜。脂質分子振動提供有關分子構象、方向和順序的直接信息。11-18圖4a中描述了輻照周期內的典型表面壓力測量,該測量針對的是表面密度為75?2/分子的純DT Azo-5P單層。以順式和反式異構體的混合物形式鋪展的樣品依次以370和450 nm的波長輻照~每個100秒。用370 nm輻照后,壓力上升至16 mN/m,而450 nm輻照導致壓力下降至3 mN/m,這與圖2中兩個等溫線之間的垂直轉換一致。圖4b分別顯示了順式和反式狀態在CH區域的VSFG光譜,其本質上分別顯示出高表面壓力和低表面壓力。在非共振背景上(水平黑線標記為零),順式和反式構型的光譜顯示3000 cm-1以下烷基鏈的脂肪族CH2和CH3模式,以及3000 cm-1以上的芳香族CH拉伸模式2,11-13,如上所述。此外,在3100 cm-1以上,底層水的OH振動信號明顯。圖4c中描繪了較大部分的水光譜,表明水信號在反式狀態下大約是順式狀態下的1.4倍,但其光譜形狀相似。
圖4:(a)在每分子75?2的面積處,脂質/H2O界面處的光開關脂質的表面壓力作為時間的函數。370和450 nm光照射~100秒分別產生cis(高壓)和trans(低壓)狀態。壓力的微小劇烈波動是由于樣品高度的變化,以校正水的蒸發。(b和c)CH和OH區域(灰色)中相應的VSFG光譜,以及洛倫茲線形狀模型的擬合(見正文)。為了清晰起見,對光譜進行了偏移。t1至t4對應于面板a中進行光譜測量的時間。(d)脂質尾部方向示意圖。光開關脂質的偶氮苯部分用灰色圓圈表示。
脂尾的分子順序可以從C-H拉伸區的VSFG反應中獲得。對于有序的磷脂單層,亞甲基CH2的VSFG強度較低,而甲基CH3的拉伸強度較高,這分別是由于全反式烷基鏈的反轉對稱性導致亞甲基CH2偶極子的取消和甲基基團的集體取向,從而導致甲基CH3偶極子的有效相干加成。另一方面,當缺陷形成時,烷基鏈內的反轉對稱性被破壞,亞甲基對稱拉伸模式的相對強度增加;同時,無序降低了甲基的強度。因此,可以通過脂質烷基鏈中甲基和亞甲基的強度或振幅比來量化空氣-水界面上脂質的順序。31在磷脂的反式和順式狀態之間切換,CH2對稱拉伸(2848 cm-1)和CH3對稱拉伸(2871 cm-1)確實顯示出差異,如圖4b所示。特別是,在反式情況下觀察到較高的CH3/CH2比率,表明盡管壓力較低,但烷基鏈中的階數較高。這種在反式狀態下觀察到的更高分子順序與MD模擬結果一致,MD模擬結果表明,在反式狀態下尾部更長。8,32
為了獲得更多關于峰值振幅和脂尾分子順序的定量信息,使用上述模型對光譜進行擬合。擬合結果如圖4b中的黑線所示。從擬合中不同洛倫茲峰的振幅中,我們清楚地發現,對于對稱拉伸模式,CH3/CH2振幅比為6(在反式狀態下比順式狀態下高3倍)。與水信號類似的擬合(圖4c,黑線)表明,非共振信號的增加不是反式情況下水信號更高的原因,因為共振貢獻比非共振貢獻大得多。反式的共振水響應強度是順式的1.4倍。
為了弄清分子的取向是否隨開關而改變,我們在不同的極化下進行了實驗。結果如圖5所示。與圖4中的數據相比,反式和順式之間的差異更為顯著,因為脂質密度更高。PPP數據(圖5b)顯示了與SSP相同的行為:從trans到cis時,CH3對稱和非對稱拉伸減少。第一個是在2860 cm-1處可見的光譜下降,而第二個是在2940 cm-1處導致下降(由于負振幅,峰值顯示為下降)。密度稍低的SPS光譜顯示出細微差異。很明顯,三種不同的極化顯示出相同的趨勢,從中我們可以得出結論,在系統中,單層內沒有發生重大的分子集體再取向。
圖5:。(a)在P的反式和順式狀態下,DT-Azo-5P的純單層在65?2處的歸一化VSFG光譜與SSP極化分別為6和20 mN/m。(b)與a部分類似,但PPP極化。(c)反、順態SPS極化中的SFG譜(~每分子78?2),壓力為2和15 mN/m。三個面板具有相同的垂直刻度。
我們想從我們的數據中推斷出分子構象的圖片。這樣的圖片必須一致地解釋反式和順式狀態的以下觀察結果:(i)反式狀態的分子順序增加,盡管(ii)反式狀態的壓力較低,(iii)反式狀態的水信號較大。由于較大的水信號意味著更多的水分子排列,我們可以得出結論,在反式情況下,帶負電的脂質下面的水比順式情況下的水排列得更整齊。一般來說,頭部基團的電荷決定了由于靜電勢而排列的水的數量:在所有其他條件相同的情況下,帶電脂質排列的水比兩性脂質排列的水多。(參見,例如,參考文獻28)順式和反式之間的主要區別是偶氮苯部分周圍的偶極矩,順式和反式偶氮苯的偶極矩分別為4.5和1.3 D。33順式態中較高的偶極矩使得與水的相互作用更加有利。5顯然,在順式反應中,部分偶氮苯部分與水相互作用,從而降低水信號,可能是通過降低界面處的表面電位。當順式偶氮苯基團中的大偶極子足夠靠近表面以屏蔽磷酸鹽頭基團中的部分負電荷時,可以解釋這些觀察結果。偶氮苯部分的偶極矩垂直于NdN鍵。為了使偶極子自身垂直于表面平面定向,脂質尾部必須形成一個環,這確實是之前針對偶氮苯基中性表面活性劑5和含偶氮苯聚合物提出的。2這種情況在圖4d的頂部面板中進行了示意性描述。由于分子足跡的大幅增加,環的形成也解釋了順式狀態比反式狀態壓力更高的原因。很可能,在反式狀態下,π-π鍵比與水的相互作用更有利。順式情況下形成環,反式情況下拉長鏈的這種情況也解釋了觀察到的反式情況下脂尾的順序增加。總之,順式狀態下的低階、低水信號和高壓力都與分子圖片一致,其中至少部分脂尾形成環,因此具有大偶極矩的順式偶氮苯基團與水(近)接觸。在橫穿狀態下,尾巴更長,不與水接觸。圖4d中給出了可能的分子圖的草圖。
對于DT Azo-3P,VSFG光譜與DT Azo-5P的光譜相似。這些分子的偶氮苯部分在鏈中的位置不同:DT Azo-5P和DT Azo-3P分別具有遠離首基的偶氮苯部分5和3個CH2基團。我們在兩種分子的光譜中觀察到相同的光譜特征,并且兩種脂質在反式狀態下的階數更高。對于尾部末端帶有偶氮苯基團的脂質(DT Azo-9P),順式和反式的光譜是不可分辨的;顯然,如果分子開關完全位于尾部末端,則脂質的排序不會受到影響。上述外差效應對于DT Azo-3P、DT Azo-5P和DT Azo-9P非常相似。
圖6:結果:DT Azo-5P/d75 DPPC的1:5混合物在脂質/水界面上的面積為60?2/分子。(a)表面壓力與時間的關系。370和450 nm光照射~100秒分別產生cis(高壓)和trans(低壓)狀態。壓力的微小劇烈波動是由于樣品高度的變化,以校正水的蒸發。(b)相應的VSFG光譜(灰色)以及CD區域的擬合。為了清晰起見,對光譜進行了偏移。(c)VSFG光譜(灰色)與fits一起引導眼睛進入CH區域。底部曲線顯示了P下純d75 DPPC的光譜~40 mN/m.(d)脂尾方向示意圖。光開關脂質的偶氮苯部分用灰色圓圈表示。
DT Azo-5P和DPPC的混合物。為了研究DT-Azo-5P對傳統脂質構象行為的影響,我們制備了由DPPC和DT-Azo-5P組成的單分子膜。為了能夠容易地區分不同的脂質,我們在這些實驗中使用了d75 DPPC和非中性DT Azo-5P。這樣,我們可以在很大程度上區分兩種不同脂質的分子振動。不幸的是,d75 DPPC分子中仍然存在5個氫原子(圖1),這會產生VSFG信號,通過查看圖6c和7c中的底部曲線可以觀察到,圖6c和7c顯示了純d75 DPPC的光譜(完全氘化的DPPC在市場上無法買到)。圖6c中約2960 cm-1處的峰值源于這些CH組的振動,這些CH組位于d75-DPPC的頭部和尾部之間。該峰在純磷脂單層中不存在(圖4b)。圖6a顯示了d75 DPPC/DT Azo-5P的5:1混合物在每個分子60?2下的輻照循環。表面壓力在3到9 mN/m之間重復變化。CD和CH光譜范圍內的相應VSFG光譜分別如圖6b和c所示。CD范圍內的光譜與之前報道的純d62-DPPC34的光譜非常匹配,表明頭部基團(膽堿基團)的CH3基團對光譜的貢獻可以忽略不計:只有尾部的振動模式可見。不同的峰可分配如下:CD3對稱拉伸(2066 cm-1)、CD2對稱拉伸(2100 cm-1)、CD3費米共振(2124 cm-1)、CD2不對稱拉伸(2195 cm-1)和CD3不對稱拉伸(2218 cm-1)。如上所述,與純DPPC相比,光開關脂質的存在表現為更高的非共振背景。在這種低密度的光脂中,在CD(DPPC)和CH(DPPC和光脂)區域,觀察到的光開關脂質的反式和順式SFG光譜之間的差異明顯小于純單層。CH區域的光譜(圖6c)主要由3000 cm-1以上的水帶、2960 cm-1處DPPC的峰值以及2850 cm-1左右的光開關脂質的CH2和CH3對稱拉伸振動控制。由于表面上大約只有17%的分子是可光開關的脂質,并且根據一階近似值,VSFG信號二次依賴于分子的數量,很明顯,這些分子的振動在光譜中并不明顯。在總密度較高(但DPPC:DT偶氮-5P比率恒定)時,順式和反式狀態之間的差異較大,如圖7 b和c部分所示,其中密度為30?2/分子,壓力在26和32 mN/m之間交替(圖7a)。如果在反式狀態下存在光開關脂質,則不同峰值的振幅更高,這部分是由于反式狀態下NR背景更高。
圖7:。結果:對于1:5的DT Azo-5P/d75 DPPC混合物,在脂質/水界面上,每個分子的面積為30?2。(a)表面壓力與時間的關系。370和450 nm光照射~100秒分別產生cis(高壓)和trans(低壓)狀態。壓力的微小劇烈波動是由于樣品高度的變化,以校正水的蒸發。順式狀態下表面壓力的降低可能是由于單層的松弛或膠束或囊泡的形成減少了表面的脂質量。(b)相應的VSFG光譜(灰色)以及CD區域的擬合。為了清晰起見,對光譜進行了偏移。插圖顯示了相互重疊的反式和順式光譜,以強調差異。(c)VSFG光譜(灰色)與fits一起引導眼睛進入CH區域。底部曲線顯示了P下純d75 DPPC的光譜~40 mN/m.(d)脂尾方向示意圖。光開關脂質的偶氮苯部分用灰色圓圈表示。
圖8:。d75 DPPC與DT Azo-5P比例為5:1的實驗中d75 DPPC的擬合結果(左)和純正常DPPC的擬合結果(右)。(a)CD3對稱拉伸振動模式的振幅隨不同密度光開關脂質狀態的變化;(b)CD2對稱拉伸振動模式的振幅隨不同密度光開關脂質狀態的變化;右圖顯示了純DPPC在可比壓力下與左圖相似的結果,其中(c)為CH3對稱拉伸振動模式的振幅,(d)為CH2對稱拉伸模式的振幅。共振的寬度和頻率在擬合中是固定的。
為了更定量地了解分子順序,圖8 a和b部分給出了四種不同密度下DPPC的CD3和CD2對稱拉伸模式的振幅,擬合結果如圖6b和7b(黑線)所示。正如預期的那樣,在順式和反式狀態下,CD3振幅隨著密度的增加而增加,CD2振幅則隨著密度的增加而減少(每個分子的面積較低),如圖中不同的顏色所示。這是由于隨著密度的增加,通過減少笨拙缺陷的數量來矯直烷基鏈。隨著密度的增加,階數增加,表面壓力也增加。值得注意的是,當通過從反式到順式(而不是通過增加表面覆蓋率)來增加壓力時,CD3和CD2之間的反相關仍然存在,但現在壓力的增加使CD3振幅下降,CD2振幅上升(我們注意到,鑒于實驗數據點上的誤差條,后一個結論是暫時的)。為了強調DPPC/DT Azo-5P混合物的這種違反直覺的行為,圖8的右面板顯示了相同對應壓力下純正常DPPC的擬合結果。右面板中的每個數據點模擬左面板中點的壓力;我們比較壓力,而不是密度。顯然,改變壓力對純DPPC的影響比對混合物的影響大得多。在非常低的壓力(P=3)下,混合物中CD3對稱拉伸模式有明顯的信號,但純DPPC幾乎沒有信號;光開關脂質的存在誘導了已經處于非常低壓力下的高階CD3基團。對于高壓,純DPPC的CH2模式幾乎完全消失,而對于混合物,仍然存在清晰的CD2信號;如果存在DT Azo-5P,則尾部的有序性較低。這并不奇怪,因為DT偶氮-5P脂質會在完全壓縮的DPPC單層中起到填充缺陷的作用。此外,在低密度(壓力高達~15 mN/m)改變壓力對純DPPC的影響比對混合物的影響更顯著。顯然,光開關脂質對壓力的影響大于對脂質分子順序的影響。
因此,一個有趣的觀察結果是,當壓力通過光開關增加時,光脂質和DPPC的脂質單層中的分子無序度隨著壓力的增加而增加。這不僅適用于磷脂本身,也適用于混合物。這似乎違反直覺,因為人們可能會認為,在更高的壓力下,增加的脂-脂相互作用將導致烷基鏈更有序。然而,這種現象很容易通過注意以下幾點來解釋:表面壓力等于單位面積表面自由能的減少。表面自由能主要由脂質與水界面的靜電和偶極相互作用以及脂質頭基之間的相互作用決定;脂肪烷基鏈之間的范德華相互作用相對較弱。因此,當通過壓縮單分子膜來增加壓力時,這主要是界面處靜電相互作用增加的結果,而用于排列這些烷基鏈的烷基鏈之間范德華相互作用的增加預計將保持相對較弱。然而,當通過將磷脂從反式轉換為順式來降低表面自由能(增加表面壓力)時,密度不會增加。相反,我們認為順式狀態下表面自由能的降低(增加壓力)是由于水界面上的靜電相互作用的增加,因為其偶極子較大。因此,我們的結果表明,偶氮苯偶極子接近表面,導致順式的足跡明顯大于反式,這可能是由于某些尾部形成了環。這意味著,有效地,頭基區域變得更加擁擠,但含有烷基鏈的非極性區域變得不那么密集,從而允許烷基鏈具有更大的構象自由度和更少的烷基鏈順序。因此,盡管壓力增加,但觀察到烷基鏈順序減少。
圖6d和7d顯示了脂質順反式轉換如何同時產生較高壓力和較低階數的示意圖。
結論
我們在這里報告了VSFG測量,以研究純光開關脂質DT Azo-5P以及這種光開關脂質與傳統脂質DPPC的混合物的單層分子結構。DT Azo-5P在順式狀態下的單分子膜的壓力高于50 A2/分子,但在烷基鏈中的順序較低。由于偶氮苯偶極子與水的相互作用,界面上的靜電相互作用更強,順式狀態也顯示出較低的信號,并具有較大的足跡,從而產生較大的壓力,這可能導致脂尾形成環。順式狀態下脂類下面的水的較弱VSFG信號表明,在這種情況下,偶氮苯部分與水接觸,部分減弱了脂類頭部負電荷的影響。為了與水接觸,尾巴必須形成一個環,從而導致更高的無序度。
對于脂質混合物,光開關狀態的影響明顯表現在表面壓力的變化中,但DT偶氮-5P順式和反式狀態之間的分子水平差異不太明顯。然而,在高密度和高壓下,CD3和CD2拉伸模式的振幅表現出與直覺相反的行為。與高壓狀態相比,在低壓狀態下,傳輸狀態下,CD3模式的振幅更大,CD2模式的振幅更小。對于DPPC的純層,壓力越高,CH3對稱拉伸模式的信號越高,CH2模式的信號越低。顯然,光開關的存在以一種不同的方式影響DPPC脂質尾部的結構,這僅僅是因為壓力的變化。
附錄
為了證明外差效應是信號增強的原因,我們測量了DPPC和DT-Azo-5P混合物的VSFG光譜。為了獲得分子特異性,我們在本實驗中使用了d75 DPPC,并檢查了CD振動區。作為參考樣品,我們使用正常DPPC(未稀釋)和d75 DPPC的混合物。換句話說,我們比較了d75 DPPC和DT Azo-5P的不同混合物與d75 DPPC和DPPC的混合物(未稀釋)。摩爾d75 DPPC/DT偶氮-5P比等于摩爾d75 DPPC/DPPC(未稀釋)比。我們總是以相同的方式制備單層,這樣每個分子的面積~35?2(凝聚相)。對于混合物中存在的DPPC或DT Azo-5P的不同部分,d75 DPPC產生的VSFG光譜如圖9 a和b部分所示。正如預期的那樣,對于d75 DPPC/DPPC(未稀釋)混合物(圖9a),VSFG信號隨著層中正常DPPC分數的增加而大致呈二次方減小。在這種情況下,非共振項很小,因此信號由方程1最后一行中的最后一項控制(ISFGχ*R(2)χR(2)IVISIIR)。對于含DT Azo-5P的混合物,效果截然不同。背景隨著DT Azo-5P量的增加而增加,背景頂部的信號大小大致不變,盡管d75 DPPC量從下到上減少。通過用上述模型擬合數據,我們可以提取信號的非共振和共振貢獻。共振貢獻,作為CD振幅之和,如圖9c所示,作為混合物中存在的分數d75 DPPC的函數。顯然,對于這兩個樣本,振幅隨著d75 DPPC的分數呈線性增加,并且兩條曲線相互重疊。因此,具有強NR信號的分子的存在僅影響非共振部分,但有趣的是,它放大了相鄰分子的信號。
圖9:。(a)正常DPPC和d75 DPPC不同混合物的CD區VSFG光譜。圖中給出了混合物中正常DPPC的百分比。為清晰起見,光譜偏移,細線表示零。(b)與a部分類似,但適用于DT Azo-5P與d75 DPPC的混合物。(c)通過擬合VSFG光譜獲得的CD振動振幅之和,如文中所述,作為含正常DPPC或DT Azo-5P的二元混合物中分數d75 DPPC的函數。在本實驗中,為了獲得混合物的高質量數據,紅外注量很高,導致通過VSFG光譜中相對較高的CH2和CD2振幅觀察到的脂質尾部出現小的無序。
作者信息
通訊作者
*電子郵件:bonn amolf.nl.
確認書
這項工作是“材料粘貼voor Fundamenteel Onderzoek(FOM)”研究項目的一部分,該項目由“荷蘭voor Wetenschapelijk Onderzoek(NWO)”組織資助。





