合作客戶/
拜耳公司 |
同濟大學 |
聯合大學 |
美國保潔 |
美國強生 |
瑞士羅氏 |
相關新聞Info
-
> GA、WPI和T80復合乳液體系的脂肪消化動力學曲線、界面張力變化(四)
> 界面張力儀評估氨基化氧化石墨烯-脂肪酸共吸附機制、應用潛力(二)
> 彈簧秤測量水的表面張力系數實驗裝置改進措施及效果
> 基于陰離子?非離子型表面活性劑復配最佳強化潤濕高效驅油體系——結果與討論、結論
> 納米TiO_2表面性質和表面活性劑對納米流體物性的影響
> 表面張力實驗、接觸角實驗分析抑塵試劑對煤的潤濕結果
> 表面張力儀的幾個實驗步驟
> 界面張力γ、潤濕角θ與泥頁巖孔半徑r關系(一)
> 球擬假絲酵母菌合成槐糖脂類表面活性劑、降解含油廢水的表面張力(一)
> 馬來酰蓖麻油酸聚乙二醇酯的表面張力、等物化性能測定(二)
球擬假絲酵母菌合成槐糖脂類表面活性劑、降解含油廢水的表面張力(二)
來源:《中國海洋大學學報(自然科學版)》 瀏覽 326 次 發布時間:2025-10-23
1.2.3培養液殘留原油的提取、純化和鑒定
采用重量法測定培養液中殘留原油。取培養液使用正己烷萃取至清澈,合并有機相,40℃減壓蒸餾除去正己烷得到原油,轉移至稱量瓶中氮氣吹干后稱取原油質量。然后稱取約0.1g剩余原油通過硅膠柱層析,參考美國EPA.8270E(SW-846)方法進行柱層析分離飽和烴和不飽和烴組分,利用氣相色譜質譜(GC-MS)聯用儀(TSQ8000Evo美國ThermoScientific公司)分別測定飽和烷烴(包括姥鮫烷、植烷)和多環芳烴組分含量,方法為:取烷烴和芳烴洗脫液利用GC-MS測定,載氣為He,載氣流速1.0 mL/min;無分流自動進樣,進樣量1μL;升溫程序為50℃保持2min,以6℃/min升溫至300℃,保持15 min;進樣口和檢測器溫度分別為280和300℃;質譜檢測器采用EI離子源;離子源溫度為230℃;定量采用SIM掃描方式。
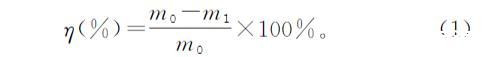
依據公式(1)計算石油烴降解率:
式中:m0表示對照培養液中殘余油含量(g·L-1);m1表示實驗組培養液中殘余油含量(g·L-1)。
1.2.4槐糖脂的提取、純化和鑒定
將培養10d后的發酵液經等體積的乙酸乙酯萃取兩次合并有機相,利用旋轉蒸發儀(RE-52A上海亞榮生化儀器)40℃減壓蒸餾除去乙酸乙酯得到黃色粗提產物。粗提產物用薄層層析(TLC)進行初步定性分析,以本實驗室由S.bombicola發酵生產純化后的槐糖脂純品為標準樣。展開劑為氯仿/甲醇/水(65∶15∶2,體積比)。顯色劑為苯酚-硫酸試劑,在105℃顯色5 min,糖類顯棕色斑點。
所提取的產物進一步通過高效液相色譜-質譜(HPLC-MS)聯用儀進行結構分析,簡述如下:取3.0g層析硅膠在110℃的溫度下活化4h后,填充到玻璃層析柱中(頂部加入1cm無水硫酸鈉),取0.05~0.1g粗產品溶于2 mL乙酸乙酯/甲醇(10∶1,體積比)混合溶劑中,用40 mL上述混合溶劑洗脫,再通過旋轉蒸發儀除去有機相得到槐糖脂純化品。采用高效液相色譜-高分辨串聯質譜聯用儀(1290 HPLC-BrukermaXis Q-TOF美國Agilent公司)測定純化品槐糖脂同系物的組分,色譜柱為Waters ACQUITY UPLC BEH130C182.1mm×150 mm×1.7μm。實驗條件:流動相A:V(甲酸)∶V(乙腈)∶V(水)=0.1∶1.0∶99.0;流動相B:V(甲酸)∶V(乙腈)=0.1∶100.0;流速為0.2 mL/min。等度洗脫條件為:流動相B的體積分數為80%。柱溫:30℃,進樣量:1μL,UV檢測波長:207nm,無分流進入質譜。質譜條件:電噴霧正離子模式;掃描范圍m/Z:200~1000;毛細管電壓:4.5kV;噴霧氣壓10342.5 Pa;干燥氣(N2)流速:6L/min;氣體溫度:80℃;分辨率:50000。
1.2.5菌體細胞電子顯微鏡觀察
通過透射電子顯微鏡(TEM)觀察不同培養階段S.bombicola細胞結構的變化。在培養第1天和第10天時分別移取添加原油濃度為0.5%的發酵液約10mL,在3500r·min-1,4℃條件下離心15 min后收集菌體。依次用2.5%的戊二醛和1%的四氧化鋨固定,30%~100%的乙醇系列脫水,然后用環氧樹脂包埋,切片,經醋酸鈾,檸檬酸鉛雙染色后用TEM觀察結構變化。
2結果與討論
2.1菌株O-13-1對采油廢水中石油烴的降解作用
在10d的降解時間內,接種S.bombicola的降解體系中油污染物被充分乳化分散為小油珠,培養液顏色明顯加深,而未接種O-13-1菌株的對照培養體系原油仍呈塊狀漂浮于培養液表面。圖1表示不同初始油濃度下經10d降解后的剩余原油量和原油降解率,結果表明,在10d的降解時間內,與空白對照相比,油濃度為0.3%、0.5%和0.8%的廢水中油污染物降解率分別提高了18.0%、16.9%和11.9%,這表明所接種的S.bombicola菌株對廢水中原油有明顯的強化降解作用,且隨廢水中油濃度的降低,生物降解率逐漸提高,這與Rahman等的研究結果基本一致。這可能是由于油濃度過高,對降解菌細胞具有一定的毒性,降解菌需要較長的時間適應調整。
正構烷烴的中等碳數(C17—C28)組分降解率變化趨勢如圖2所示。接種S.bombicola的培養體系中各組分下降明顯。油濃度為0.8%、0.5%和0.3%的降解體系中正構烷烴降解率分別為7.0%~12.8%、17.9%~44.0%和4.5%~27.7%,表明S.bombicola可對原油中正構烷烴組分進行生物降解。實際上,已有研究表明,S.bombicola可高效降解石油烴中的烷烴類組分。在降解過程中,原油首先被吸附于菌細胞表面。
圖1不同初始油濃度下經10d培養后剩余原油含量和原油降解率的變化
圖2油濃度為0.8%(a)、0.5%(b)和0.3%(c)的培養體系中正構烷烴的中等碳數組分降解率





