合作客戶/
拜耳公司 |
同濟大學 |
聯合大學 |
美國保潔 |
美國強生 |
瑞士羅氏 |
相關新聞Info
-
> 微凝膠顆粒在氣液界面處吸附動力學及動態方程研究——摘要、介紹、材料及方法
> 基于表面張力測試儀研究表面活性劑促進浮選精煤脫水的機理(二)
> 干濕循環試驗:不同表面張力下土壤裂隙的發展演化機理(二)
> 不同表面張力和接觸角下膨脹土裂隙的發展演化過程(二)
> ?表面張力測量科學:從經典原理到現代智能操作(以Kibron表面張力儀為例)
> 利用光誘導凝聚體施加毛細力實現精準定位,揭示染色質的黏彈性異質性
> 界面張力對凝析油氣相滲及臨界流動飽和度的影響、模型構建
> 各向異性表面張力條件下定向凝固共晶生長形態穩定性(下)
> 覆蓋有疏水網的開放管道液體輸運穩定性研究(下)
> 海洋環境表面活性物質來源及對海洋飛沫氣溶膠數濃度、粒徑分布、理化性質的影響(四)
推薦新聞Info
-
> 烷基二苯醚/烷基苯混合磺酸鹽靜態表面張力、金屬腐蝕性及凈洗力測定(二)
> 烷基二苯醚/烷基苯混合磺酸鹽靜態表面張力、金屬腐蝕性及凈洗力測定(一)
> 全自動張力測定儀揭示子細胞表面張力對胞質分裂結局的主導作用(二)
> 全自動張力測定儀揭示子細胞表面張力對胞質分裂結局的主導作用(一)
> 煙道氣與正己烷對稠油表面張力的影響機制研究(三)
> 煙道氣與正己烷對稠油表面張力的影響機制研究(二)
> 煙道氣與正己烷對稠油表面張力的影響機制研究(一)
> 變化磁場、零磁場條件下磁性液體表面張力系數測定
> 晶圓級超平整石墨烯載網的批量化制備步驟與應用
> 水性不銹鋼喇叭網抗劃涂料的技術突破與性能優化
去乙酰化槐糖脂生物表面活性劑的結構鑒定、理化性質及應用(二)
來源:應用化學 瀏覽 995 次 發布時間:2025-02-13
1實驗部分
1.1儀器和試劑
1290 HPLC-Bruker Maxis Q-TOF型高效液相色譜-高分辨串聯質譜聯用儀(HPLC-MS/MS,美國Agilent公司);LC-WB-4型磁力攪拌水浴鍋(上海力辰邦西儀器科技有限公司);JZ-200A型自動界面張力儀(芬蘭Kibron公司);Foamscan型全自動泡沫分析儀(法國Teclis公司)。
SLs產品:野生型菌株生產的SLs產品是以葡萄糖和油酸為底物,經發酵后自然沉淀得到系列同系物,大部分具有乙酰基,簡稱為“乙酰化SLs”;去乙酰化菌株生產的SLs產品是以葡萄糖和油酸為底物,經發酵后使用乙醇萃取,在55℃減壓去除乙醇溶劑后得到,簡稱為“去乙酰化SLs”。
乙酸乙酯、無水乙醇、硫酸、甲酸、無水碳酸鈉、連二硫酸鈉、無水氯化鈣、氯化鈉和液體石蠟均為分析純試劑,氫氧化鈉和硫化鈉為化學純試劑,以上試劑均購自國藥集團化學試劑有限公司;松節油和棉籽油為分析純試劑,購自上海邁瑞爾生化科技有限公司。
1.2乙酰化SLs和去乙酰化SLs同系物的結構鑒定
HPLC-MS/MS的色譜柱為Waters ACQUITY UPLC BEH130 C18 2.1 mm×150 mm×1.7μm。實驗條件:流動相A:0.1%甲酸、1%乙腈水溶液;流動相B:0.1%甲酸乙腈;流速為0.2 mL/min;等度洗脫條件為:80%B。柱溫:30℃,進樣量:1μL,UV檢測波長:207 nm,無分流進入質譜。質譜:電噴霧正離子模式;掃描范圍m/z 200~1000;毛細管電壓:4.5 kV;噴霧氣壓1.03×104 Pa;干燥氣(N2)流速:6 L/min;氣體溫度:180℃;分辨率:50000。
1.3理化性能測試方法
1.3.1溶解性、濁點和耐酸堿性
溶解度測定:量取100 mL去離子水于燒杯中,逐步加入溶質其中至恰好飽和,計算濃度。濁點的測定參考GB/T 5559-2010。耐酸堿性檢測方法參考GB/T 5555-2003和GB/T 5556-2003,抗硬水性測試參考GB/T 7381-2010。
1.3.2表面性能
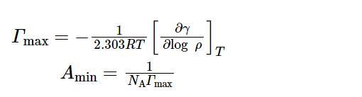
通過鉑環法在室溫下進行表面張力測定,參考GB/T 5549-2010。繪制出表面張力-濃度對數(γ-lg c)曲線。使用公式(1)和(2)對飽和吸附量(Гmax)和單個分子占據最小表面積(Amin)進行計算。
式中,Гmax是飽和吸附量(μmol/m2);γ為表面張力(mN/m);R為摩爾氣體常數(8.314 J/(mol·K));T為熱力學溫度(K);ρ為表面活性劑的質量濃度(mg/L);(?γ/?logρ)T是表面張力與濃度對數關系曲線的斜率;Amin是單個分子占有的最小表面積(nm2);NA為阿伏伽德羅常數(6.022×1023/mol)。
1.3.3親水-親油平衡值
采用乳化法來測定HLB值,即通過觀測樣品對確定HLB值的混合植物油的乳化穩定性來評價樣品的HLB值。具體方法為:使用松節油(HLB值為16)和棉籽油(HLB值為6)配制一系列不同HLB值的油相,每19份油相中加入80份水和1份待測樣品,攪拌乳化,穩定10 min后讀取乳化層高度,乳化層高度最高的試樣中對應油相的HLB值即為待測試樣的HLB值。
1.3.4泡沫性能
使用泡沫分析儀通過多孔介質向400 mL待測液體(1 g/L)內注入氣體而產生泡沫,記錄2種SLs起泡后穩定30 s和5 min的泡沫量,使用公式(3)計算2種SLs的泡沫穩定性:
式中,Sfoam為泡沫穩定性,V5 min為靜置5 min后的泡沫體積(mL),V30 s為靜置30 s后的泡沫體積(mL)。為了對比分析SLs在不同鹽度(S)下的泡沫性能,在氯化鈉質量濃度為0、10、100、200、400、600、800和1000 mg/L的溶液中測定30 s泡沫量,方法同上。
1.3.5乳化性能
取40 mL待測溶液(1 g/L)、40 mL液體石蠟,加入到100 mL具塞量筒中,劇烈搖動后開始計時,記錄分出10 mL水相所用時間。





